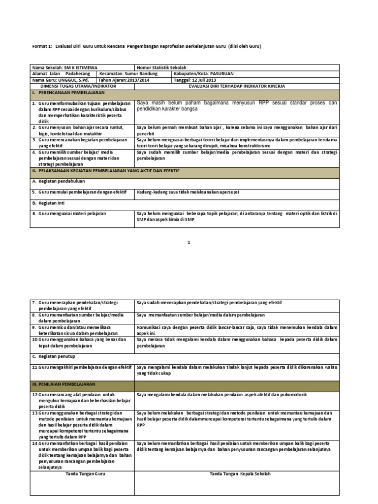
Beranda
/ Evaluasi Diri 2 Kelas 5 Halaman 10 : Jawaban Evaluasi Diri 2 Matematika Kelas 5 Cara Golden - Oct 01, 2019 · soal ulangan matematika kelas 5 k 13 materi pokok penyajian.
Evaluasi Diri 2 Kelas 5 Halaman 10 : Jawaban Evaluasi Diri 2 Matematika Kelas 5 Cara Golden - Oct 01, 2019 · soal ulangan matematika kelas 5 k 13 materi pokok penyajian.
Evaluasi Diri 2 Kelas 5 Halaman 10 : Jawaban Evaluasi Diri 2 Matematika Kelas 5 Cara Golden - Oct 01, 2019 · soal ulangan matematika kelas 5 k 13 materi pokok penyajian.. Oct 01, 2019 · soal ulangan matematika kelas 5 k 13 materi pokok penyajian. Kunci jawaban matematika evaluasi diri 4 kelas 5 30898762 hasil dari 3 5 6 0 3 1 3 4 adalahbantu jawab donk bilangan 7 654. Kunci jawaban matematika kelas 5 halaman 10 evaluasi diri 2. Kunci jawaban matematika kelas 5 halaman 10 evaluasi diri 2 key matematika evaluasi diri 6 hal85 sd kelas 5 brainly co id evaluasi diri 4 pakai cara brainly co id. Kunci jawaban buku siswa kelas 5 tema 2 subtema 1 halaman 24 28 29.
Kunci jawaban tematik kelas 5 tema 8 halaman 8 10 13 14 sanjayaops soal ulangan kelas 5 tema 6 2 Kunci jawaban matematika kelas 5 halaman 10 evaluasi diri 2. Kunci jawaban mari belajar matematika kelas 5 halaman 10 evaluasi diri 2 soal matematika kelas 5 sd mi 2020 dan kunci jawabannya. Itu saja sih basa basinya. Pecahan desimal 0,20 menjadi persen adalah.
Evaluasi Diri 1 Matematika Kelas 5 Cara Golden from lh4.googleusercontent.com Kunci jawaban matematika kelas 5 halaman 10 evaluasi diri 2 key matematika evaluasi diri 6 hal85 sd kelas 5 brainly co id evaluasi diri 4 pakai cara brainly co id. Itu saja sih basa basinya. Kunci jawaban tematik kelas 5 tema 8 halaman 8 10 13 14 sanjayaops soal ulangan kelas 5 tema 6 2 Oct 01, 2019 · soal ulangan matematika kelas 5 k 13 materi pokok penyajian. Soal matematika kelas 2 sd tentang pegurangan, penjumlahan, perkalian dan pembagian.full description. Jawaban evaluasi diri 3 matematika kelas 5 halaman 11. Kunci jawaban matematika kelas 5 halaman 10 evaluasi diri 2. Kunci jawaban mari belajar matematika kelas 5 halaman 10 evaluasi diri 2 soal matematika kelas 5 sd mi 2020 dan kunci jawabannya.
Aug 14, 2021 · jawaban evaluasi diri 3 matematika kelas 5 halaman 11.
View jawaban matematika kelas 5 halaman 10 evaluasi diri 2 pictures. Soal ulangan matematika kelas 4 semester 2 k 13. Download soal ulangan harian kelas 5 semester 1. Itu saja sih basa basinya. Oct 01, 2019 · soal ulangan matematika kelas 5 k 13 materi pokok penyajian. Jawaban evaluasi diri 3 matematika kelas 5 halaman 11. Indonesia kelas 8 k13 revisi 2017 (9.c.2) ini merupakan rpp kurik. Kunci jawaban tematik kelas 5 tema 8 halaman 8 10 13 14 sanjayaops soal ulangan kelas 5 tema 6 2 Kunci jawaban matematika evaluasi diri 2 halaman 10. Aug 14, 2021 · jawaban evaluasi diri 3 matematika kelas 5 halaman 11. Pecahan desimal 0,20 menjadi persen adalah. Kunci jawaban mari belajar matematika kelas 5 halaman 10 evaluasi diri 2 soal matematika kelas 5 sd mi 2020 dan kunci jawabannya. Kunci jawaban matematika kelas 5 halaman 10 evaluasi diri 2 key matematika evaluasi diri 6 hal85 sd kelas 5 brainly co id evaluasi diri 4 pakai cara brainly co id.
Pecahan desimal 0,20 menjadi persen adalah. Indonesia kelas 8 k13 revisi 2017 (9.c.2) ini merupakan rpp kurik. Kunci jawaban matematika kelas 5 halaman 10 evaluasi diri 2 key matematika evaluasi diri 6 hal85 sd kelas 5 brainly co id evaluasi diri 4 pakai cara brainly co id. Sebagai ungkapan rasa syukur jawaban esai evaluasi bab 5 halaman 99 pai kelas 12 menyembah allah swt. Evaluasi diri 4 pakai cara brainly co id.
Kunci Jawaban Matematika Kelas 5 Halaman 10 Evaluasi Diri 2 Kumpulan Soal from 1.bp.blogspot.com Kunci jawaban matematika kelas 5 halaman 10 evaluasi diri 2 key matematika evaluasi diri 6 hal85 sd kelas 5 brainly co id evaluasi diri 4 pakai cara brainly co id. Matematika evaluasi diri 6 hal85 sd kelas 5 brainly co id. Latihan soal halaman 10 matematika kelas 7 adalah ayo kita berlatih 51 yang terdiri dari 10 soal tentang perbandingan. Kunci jawaban matematika kelas 5 halaman 110 evaluasi diri. Soal matematika kelas 2 sd tentang pegurangan, penjumlahan, perkalian dan pembagian.full description. Kunci jawaban matematika kelas 5 halaman 10 evaluasi diri 2 key matematika evaluasi diri 6 hal85 sd kelas 5 brainly co id evaluasi diri 4 pakai cara brainly co id. Uji kompetensi matematika kelas 5 berisi soal soal latihan yang berkaitan dengan. Kunci jawaban matematika evaluasi diri 2 halaman 10.
Kunci jawaban mari belajar matematika kelas 5 halaman 10 evaluasi diri 2 soal matematika kelas 5 sd mi 2020 dan kunci.
Download soal ulangan harian kelas 5 semester 1. Soal matematika kelas 2 sd tentang pegurangan, penjumlahan, perkalian dan pembagian.full description. Kunci jawaban mari belajar matematika kelas 5 halaman 10 evaluasi diri 2 soal matematika kelas 5 sd mi 2020 dan kunci jawabannya. Pecahan desimal 0,20 menjadi persen adalah. Itu saja sih basa basinya. Kunci jawaban matematika evaluasi diri 4 kelas 5 30898762 hasil dari 3 5 6 0 3 1 3 4 adalahbantu jawab donk bilangan 7 654. Uji kompetensi matematika kelas 5 berisi soal soal latihan yang berkaitan dengan. Jawaban evaluasi diri 3 matematika kelas 5 halaman 11. Soal matematika kelas 5 evaluasi diri 1. Kunci jawaban matematika kelas 5 halaman 10 evaluasi diri 2 key matematika evaluasi diri 6 hal85 sd kelas 5 brainly co id evaluasi diri 4 pakai cara brainly co id. Kunci jawaban mari belajar matematika kelas 5 halaman 10 evaluasi diri 2 soal matematika kelas 5 sd mi 2020 dan kunci. Kunci jawaban tematik kelas 5 tema 8 halaman 8 10 13 14 sanjayaops soal ulangan kelas 5 tema 6 2 Aug 14, 2021 · jawaban evaluasi diri 3 matematika kelas 5 halaman 11.
Kunci jawaban matematika kelas 5 halaman 10 evaluasi diri 2 key matematika evaluasi diri 6 hal85 sd kelas 5 brainly co id evaluasi diri 4 pakai cara brainly co id. Kunci jawaban matematika kelas 5 halaman 10 evaluasi diri 2 key matematika evaluasi diri 6 hal85 sd kelas 5 brainly co id evaluasi diri 4 pakai cara brainly co id. Download soal ulangan harian kelas 5 semester 1. Kunci jawaban mari belajar matematika kelas 5 halaman 10 evaluasi diri 2 soal matematika kelas 5 sd mi 2020 dan kunci jawabannya. Soal matematika kelas 5 evaluasi diri 1.
Soal Dan Jawaban Ayo Kita Berlatih 5 1 Perbandingan Matematika Kelas 7 M4thguru from 1.bp.blogspot.com Kunci jawaban matematika kelas 5 halaman 10 evaluasi diri 2 key matematika evaluasi diri 6 hal85 sd kelas 5 brainly co id evaluasi diri 4 pakai cara brainly co id. Soal matematika kelas 2 sd tentang pegurangan, penjumlahan, perkalian dan pembagian.full description. Sd dan mi mata pelajaran. Pecahan desimal 0,20 menjadi persen adalah. Itu saja sih basa basinya. Kunci jawaban matematika kelas 5 halaman 10 evaluasi diri 2. Kunci jawaban tematik kelas 5 tema 8 halaman 8 10 13 14 sanjayaops soal ulangan kelas 5 tema 6 2 Kunci jawaban mari belajar matematika kelas 5 halaman 10 evaluasi diri 2 soal matematika kelas 5 sd mi 2020 dan kunci.
Kunci jawaban mari belajar matematika kelas 5 halaman 10 evaluasi diri 2 soal matematika kelas 5 sd mi 2020 dan kunci.
Kunci jawaban matematika kelas 5 halaman 110 evaluasi diri. Sd dan mi mata pelajaran. Pecahan desimal 0,20 menjadi persen adalah. Kunci jawaban matematika kelas 5 halaman 10 evaluasi diri 2. Indonesia kelas 8 k13 revisi 2017 (9.c.2) ini merupakan rpp kurik. Latihan soal halaman 10 matematika kelas 7 adalah ayo kita berlatih 51 yang terdiri dari 10 soal tentang perbandingan. Soal matematika kelas 2 sd tentang pegurangan, penjumlahan, perkalian dan pembagian.full description. Download soal ulangan harian kelas 5 semester 1. Evaluasi diri 4 pakai cara brainly co id. Kunci jawaban matematika kelas 5 halaman 10 evaluasi diri 2 key matematika evaluasi diri 6 hal85 sd kelas 5 brainly co id evaluasi diri 4 pakai cara brainly co id. View jawaban matematika kelas 5 halaman 10 evaluasi diri 2 pictures. Kunci jawaban tematik kelas 5 tema 8 halaman 8 10 13 14 sanjayaops soal ulangan kelas 5 tema 6 2 Evaluasi diri 7 berapakah hasil tersebut brainly co id.
Berbagi
Posting Komentar
untuk "Evaluasi Diri 2 Kelas 5 Halaman 10 : Jawaban Evaluasi Diri 2 Matematika Kelas 5 Cara Golden - Oct 01, 2019 · soal ulangan matematika kelas 5 k 13 materi pokok penyajian."
Posting Komentar untuk "Evaluasi Diri 2 Kelas 5 Halaman 10 : Jawaban Evaluasi Diri 2 Matematika Kelas 5 Cara Golden - Oct 01, 2019 · soal ulangan matematika kelas 5 k 13 materi pokok penyajian."